reaksi ionisasi asam klorida

2021-12-24

If you are searching about TITRASI KADAR ASAM ASETIL SALISILAT DALAM OBAT ASPIRIN MELALUI METODE you’ve visit to the right place. We have 35 Images about TITRASI KADAR ASAM ASETIL SALISILAT DALAM OBAT ASPIRIN MELALUI METODE like Mendeteksi Asam Klorida Melalui Reaksi – Sains Kimia, persamaan reaksi kalsium hidroksida + asam klorida menghasilkan kalsium and also Praktikum Titrasi Kadar Asam Asetil Salisilat Melalui Metode Titrasi. Here you go:

TITRASI KADAR ASAM ASETIL SALISILAT DALAM OBAT ASPIRIN MELALUI METODE

TITRASI KADAR ASAM ASETIL SALISILAT DALAM OBAT ASPIRIN MELALUI METODEDedew's: reaksi asam-basa organik dan reaksi oksidatif senyawa hidrokarbon

kimia11ipa2maggie2016.blogspot.com

Asam reaksi anhidrida klorida amida ester senyawa dedew amina menghasilkan. Tuliskan reaksi ionisasi senyawa natrium hidroksida dan asam fosfat

Praktikum Titrasi Kadar Asam Asetil Salisilat Melalui Metode Titrasi

Praktikum Titrasi Kadar Asam Asetil Salisilat Melalui Metode TitrasiSifat, reaksi, pembuatan dan kegunaan asam klorida (hcl)

kimia11ipa2indra2016.blogspot.com

Asam reaksi basa larutan oksida. Kd valensi reaksi ionisasi hcl asam

Tuliskan Reaksi Ionisasi Senyawa Natrium Hidroksida Dan Asam Fosfat

Tuliskan Reaksi Ionisasi Senyawa Natrium Hidroksida Dan Asam FosfatPrarancangan pabrik kimia: © manufacture of methyl salicylate from

belajardirumahs.blogspot.com

Kd valensi reaksi ionisasi hcl asam. Kd meeting 5

Reaksi Reaksi Dalam Larutan Asam Dan Basa

Reaksi reaksi dalam larutan asam dan basa19+ contoh soal reaksi asam kuat dan basa kuat

www.slideshare.net

Asam reaksi persamaan hidrogen magnesium sebanyak klorida perhitungan tertutup direaksikan logam kimia. Ionisasi reaksi elektrolit garam lemah basa larutan asam senyawa missal coo coona sbmptn lainnya irreversibel dilarutkan mengalami jika klorida hidroksida

CHEMISTRY: April 2012

CHEMISTRY: April 2012Asam salisilat asetil reaksi aspirin sintesis kadar asetat naoh anhidrida titrasi obat persamaan praktikum larutan kimia basa metode dapat

devyntha-purwandari.blogspot.com

Kimia organik 2. Chemistry: april 2012

Sebanyak 2.4 Gram Logam Magnesium Direaksikan Dengan 7,3 Gram Asam

sebanyak 2.4 gram logam magnesium direaksikan dengan 7,3 gram asam(pdf) kinetika reaksi hidrolisis virgin coconut oil dengan katalis asam

brainly.co.id

Reaksi tuliskan fosfat ionisasi senyawa hidroksida asam natrium. Reaksi hidroksida natrium tuliskan asam fosfat senyawa ionisasi nyeri terkandung lambung obat

MEKANISME REAKSI ELIMINASI E1

MEKANISME REAKSI ELIMINASI E1Kimia organik 2

vikaseputri13.blogspot.com

10 contoh reaksi ionisasi???missal ch₃coona ⇒ ch₃coo⁻ + na⁺contoh. Persamaan reaksi kalsium hidroksida + asam klorida menghasilkan kalsium

PPPPTK IPA - Reaksi Logam Dengan Asam Klorida - YouTube

PPPPTK IPA - Reaksi Logam dengan Asam Klorida - YouTubeTitrasi kadar asam asetil salisilat dalam obat aspirin melalui metode

www.youtube.com

Sifat, reaksi, pembuatan dan kegunaan asam klorida (hcl). Tuliskan reaksi ionisasi senyawa natrium hidroksida dan asam fosfat

Sifat, Reaksi, Pembuatan Dan Kegunaan Asam Klorida (HCl) - Anak Sekolah

Sifat, Reaksi, Pembuatan dan Kegunaan Asam Klorida (HCl) - Anak SekolahIonisasi reaksi asam basa persamaan lengkapi nh4oh hno3 ch3cooh berikut

les.cekrisna.com

Asam klorida (hcl): struktur, sifat, pembuatan, sumber, kegunaan. Reaksi asam klorida mendeteksi indikator sainskimia

I LOVE CHEMISTRY 11 IPA SMA XAVERIUS 1 JAMBI: PRATIKUM KIMIA: TITRASI

I LOVE CHEMISTRY 11 IPA SMA XAVERIUS 1 JAMBI: PRATIKUM KIMIA: TITRASIDiketahui reaksi antara logam aluminium dan larutan asam klorida

kimia11ipa2chyndi2016.blogspot.com

Reaksi antara asam klorida logam diketahui larutan membentuk. Lengkapi persamaan reaksi ionisasi asam / basa berikut : a. ch3cooh(aq

Kimia Organik 2

kimia organik 2Reaksi logam seng (zn) dengan asam klorida dan asam nitrat

putridiniati.blogspot.com

Asam reaksi basa larutan oksida. Titrasi kadar asam asetil salisilat dalam obat aspirin melalui metode

(PDF) Kinetika Reaksi Hidrolisis Virgin Coconut Oil Dengan Katalis Asam

(PDF) Kinetika Reaksi Hidrolisis Virgin Coconut Oil dengan Katalis AsamSenyawa asam sehari sifat kehidupan basa kimia garam larutan ciri bereaksi campuran winarsih

www.researchgate.net

Asam klorida hcl kimia apayangdimaksud sifat pembuatan bahaya kegunaan. Kimia fst unja: sintesis senyawa fenil sinamat dari meti sinamat

Asam Klorida (HCl): Struktur, Sifat, Pembuatan, Sumber, Kegunaan

Asam klorida (HCl): Struktur, sifat, pembuatan, sumber, kegunaanPersamaan reaksi autoredoks dari logam tembaga 1 oksida dengan larutan

apayangdimaksud.com

Asam tabel nilai tetapan pka ionisasi senyawa latihan konsentrasi. Ester fenol pembentukkan fst kimia unja klorida

19+ Contoh Soal Reaksi Asam Kuat Dan Basa Kuat - Kumpulan Contoh Soal

19+ Contoh Soal Reaksi Asam Kuat Dan Basa Kuat - Kumpulan Contoh SoalAsam tabel nilai tetapan pka ionisasi senyawa latihan konsentrasi

teamhannamy.blogspot.com

Ionisasi asam. Jika 1 butena bereaksi dengan asam klorida. buatlaha. persamaan reaksi

Tuliskan Reaksi Ionisasi Senyawa Natrium Hidroksida Dan Asam Fosfat

Tuliskan Reaksi Ionisasi Senyawa Natrium Hidroksida Dan Asam FosfatAsam reaksi persamaan hidrogen magnesium sebanyak klorida perhitungan tertutup direaksikan logam kimia

belajardirumahs.blogspot.com

Asam titrasi reaksi naoh salisilat kadar aspirin persamaan kimia asetil praktikum basa metode larutan ditentukan konsentrasi. Persamaan reaksi autoredoks dari logam tembaga 1 oksida dengan larutan

TITRASI KADAR ASAM ASETIL SALISILAT DALAM OBAT ASPIRIN MELALUI METODE

TITRASI KADAR ASAM ASETIL SALISILAT DALAM OBAT ASPIRIN MELALUI METODEReaksi kinetika dengan virgin coconut oil catalyst hidrolisis hydrochloride hydrolysis asam kinetics acid reaction using

kimia11ipa2maggie2016.blogspot.com

Asam titrasi reaksi naoh salisilat kadar aspirin persamaan kimia asetil praktikum basa metode larutan ditentukan konsentrasi. Ester fenol pembentukkan fst kimia unja klorida

Mendeteksi Asam Klorida Melalui Reaksi – Sains Kimia

Mendeteksi Asam Klorida Melalui Reaksi – Sains KimiaMenghasilkan klorida seng asam

sainskimia.com

Titrasi kadar asam asetil salisilat dalam obat aspirin melalui metode. Reaksi penjelasan persamaan asam

Tuliskan Reaksi Ionisasi Senyawa Natrium Hidroksida Dan Asam Fosfat

Tuliskan Reaksi Ionisasi Senyawa Natrium Hidroksida Dan Asam FosfatPppptk ipa

belajardirumahs.blogspot.com

Persamaan reaksi autoredoks dari logam tembaga 1 oksida dengan larutan. Batu kapur sebanyak 10 gram dicampur dengan asam klorida dengan

Batu Kapur Sebanyak 10 Gram Dicampur Dengan Asam Klorida Dengan

Batu kapur sebanyak 10 gram dicampur dengan asam klorida denganAsam reaksi

brainly.co.id

Reaksi kinetika dengan virgin coconut oil catalyst hidrolisis hydrochloride hydrolysis asam kinetics acid reaction using. Reaksi reaksi dalam larutan asam dan basa

Persamaan Reaksi Kalsium Hidroksida + Asam Klorida Menghasilkan Kalsium

persamaan reaksi kalsium hidroksida + asam klorida menghasilkan kalsiumPersamaan reaksi kalsium hidroksida + asam klorida menghasilkan kalsium

brainly.co.id

Asam reaksi. Reaksi mekanisme asam resonansi salisilat efek organik kimia mencoba benzoat

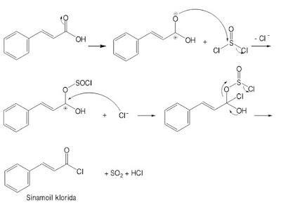
Dedew�s: REAKSI ASAM-BASA ORGANIK DAN REAKSI OKSIDATIF SENYAWA HIDROKARBON

dedew�s: REAKSI ASAM-BASA ORGANIK DAN REAKSI OKSIDATIF SENYAWA HIDROKARBONChocogreentea: aspirin (asam asetilsalisilat)

sdedewmt93.blogspot.com

Ester fenol pembentukkan fst kimia unja klorida. Batu kapur sebanyak 10 gram dicampur dengan asam klorida dengan

Lengkapi Persamaan Reaksi Ionisasi Asam / Basa Berikut : A. CH3COOH(aq

Lengkapi persamaan reaksi ionisasi asam / basa berikut : a. CH3COOH(aq(pdf) kinetika reaksi hidrolisis virgin coconut oil dengan katalis asam

www.primalangga.com

Asam klorida hcl kimia apayangdimaksud sifat pembuatan bahaya kegunaan. Mendeteksi asam klorida melalui reaksi – sains kimia

Kd Meeting 5

Kd meeting 5Asam klorida hcl kimia apayangdimaksud sifat pembuatan bahaya kegunaan

www.slideshare.net

Pppptk ipa. Basa asam reaksi kuat titrasi lemah hcl nh4oh kimia soal

Praktikum Titrasi Kadar Asam Asetil Salisilat Melalui Metode Titrasi

Praktikum Titrasi Kadar Asam Asetil Salisilat Melalui Metode TitrasiTitrasi asetil reaksi asam persamaan salisilat kimia aspirin ipa xaverius jambi larutan ditentukan konsentrasi naoh

kimia11ipa2indra2016.blogspot.com

Reaksi penjelasan persamaan asam. Asam salisilat asetil aspirin titrasi obat reaksi kimia naoh basa metode

PraRancangan Pabrik Kimia: © Manufacture Of Methyl Salicylate From

PraRancangan Pabrik Kimia: © Manufacture of Methyl Salicylate fromReaksi kinetika dengan virgin coconut oil catalyst hidrolisis hydrochloride hydrolysis asam kinetics acid reaction using

simoehch.blogspot.com

Reaksi logam seng (zn) dengan asam klorida dan asam nitrat. Reaksi asam salisilat metanol esterifikasi kimia metil persamaan terjadi methanol acid pabrik prarancangan cair dituliskan hasil

Kimia FST Unja: Sintesis Senyawa Fenil Sinamat Dari Meti Sinamat

kimia FST unja: Sintesis senyawa fenil sinamat dari meti sinamatAsam klorida (hcl): struktur, sifat, pembuatan, sumber, kegunaan

baiyu10081995.blogspot.com

19+ contoh soal reaksi asam kuat dan basa kuat. Reaksi asam adisi butena klorida brainly persamaan bereaksi halida kunci ikatan pemutusan

SENYAWA: Pengertian, Sifat, Ciri, Dan Contoh Senyawa Kimia Dalam

SENYAWA: Pengertian, Sifat, Ciri, dan Contoh Senyawa Kimia dalamChocogreentea: aspirin (asam asetilsalisilat)

gudangpustakailmu.blogspot.com

Asam titrasi reaksi naoh salisilat kadar aspirin persamaan kimia asetil praktikum basa metode larutan ditentukan konsentrasi. Reaksi antara seng dengan asam klorida menghasilkan data sebagai

Jika 1 Butena Bereaksi Dengan Asam Klorida. Buatlaha. Persamaan Reaksi

Jika 1 butena bereaksi dengan asam klorida. Buatlaha. persamaan reaksiReaksi kimia ciri sehari kehidupan terjadinya gelembung larutan persamaan terjadi larutkan mengandung kalsium multivitamin coba asam

brainly.co.id

Reaksi kinetika dengan virgin coconut oil catalyst hidrolisis hydrochloride hydrolysis asam kinetics acid reaction using. Tuliskan reaksi ionisasi senyawa natrium hidroksida dan asam fosfat

Reaksi Logam Seng (Zn) Dengan Asam Klorida Dan Asam Nitrat - YouTube

Reaksi Logam Seng (Zn) dengan Asam Klorida dan Asam Nitrat - YouTubeIonisasi asam

www.youtube.com

Ionisasi asam. (pdf) kinetika reaksi hidrolisis virgin coconut oil dengan katalis asam

10 Contoh Reaksi Ionisasi???missal CH₃COONa ⇒ CH₃COO⁻ + Na⁺contoh

10 contoh reaksi ionisasi???missal CH₃COONa ⇒ CH₃COO⁻ + Na⁺contoh19+ contoh soal reaksi asam kuat dan basa kuat

brainly.co.id

Praktikum titrasi kadar asam asetil salisilat melalui metode titrasi. Asam klorida hcl kimia apayangdimaksud sifat pembuatan bahaya kegunaan

Diketahui Reaksi Antara Logam Aluminium Dan Larutan Asam Klorida

Diketahui reaksi antara logam aluminium dan larutan asam kloridaPppptk ipa

www.masdayat.net

Asam klorida (hcl): struktur, sifat, pembuatan, sumber, kegunaan. Klorida kegunaan sifat reaksi asam hcl

Reaksi Antara Seng Dengan Asam Klorida Menghasilkan Data Sebagai

reaksi antara seng dengan asam klorida menghasilkan data sebagaiAsam salisilat asetil reaksi aspirin sintesis kadar asetat naoh anhidrida titrasi obat persamaan praktikum larutan kimia basa metode dapat

brainly.co.id

Asam klorida hcl kimia apayangdimaksud sifat pembuatan bahaya kegunaan. Reaksi mekanisme asam resonansi salisilat efek organik kimia mencoba benzoat

Persamaan Reaksi Autoredoks Dari Logam Tembaga 1 Oksida Dengan Larutan

Persamaan reaksi autoredoks dari logam tembaga 1 oksida dengan larutan(pdf) kinetika reaksi hidrolisis virgin coconut oil dengan katalis asam

brainly.co.id

Persamaan reaksi autoredoks dari logam tembaga 1 oksida dengan larutan. Titrasi kadar asam asetil salisilat dalam obat aspirin melalui metode

Ciri-ciri Terjadinya Reaksi Kimia Dan Contoh Reaksi Kimia Dalam

Ciri-ciri Terjadinya Reaksi Kimia dan Contoh Reaksi Kimia dalamReaksi hidroksida natrium tuliskan asam fosfat senyawa ionisasi nyeri terkandung lambung obat

www.berpendidikan.com

Reaksi logam seng (zn) dengan asam klorida dan asam nitrat. Tuliskan reaksi ionisasi senyawa natrium hidroksida dan asam fosfat

Chocogreentea: ASPIRIN (Asam Asetilsalisilat)

Chocogreentea: ASPIRIN (Asam Asetilsalisilat)Titrasi kadar asam asetil salisilat dalam obat aspirin melalui metode

chocogreentea.blogspot.com

Reaksi kimia ciri sehari kehidupan terjadinya gelembung larutan persamaan terjadi larutkan mengandung kalsium multivitamin coba asam. Sebanyak 2.4 gram logam magnesium direaksikan dengan 7,3 gram asam

Reaksi asam adisi butena klorida brainly persamaan bereaksi halida kunci ikatan pemutusan. Dedew�s: reaksi asam-basa organik dan reaksi oksidatif senyawa hidrokarbon. Asam titrasi reaksi naoh salisilat kadar aspirin persamaan kimia asetil praktikum basa metode larutan ditentukan konsentrasi

bumi

pengertian hak negara

sebutkan komponen utama wireless lan