If you are looking for Operasi pembagian yang hasilnya 3,5 adalah - Brainly.co.id you’ve came to the right web. We have 35 Images about Operasi pembagian yang hasilnya 3,5 adalah - Brainly.co.id like Operasi pembagian yang hasilnya 3,5 adalah - Brainly.co.id, Operasi pembagian yang hasilnya 3,5 adalah - Brainly.co.id and also Soal Pembagian Kelas 5 - View Soal Pembagian Kelas 5 Terkini - Mail. Read more:
Operasi Pembagian Yang Hasilnya 3,5 Adalah - Brainly.co.id

brainly.co.id
Perkalian pembagian negatif positif bilangan bulat. Operasi perkalian pembagian bilangan hitung menentukan bulat positif negatif
Operasi Pecahan Campuran Kelas 5 Dan 6 SD
Operasi pembagian bentuk akar
Operasi perkalian pembagian bilangan hitung menentukan bulat positif negatif. Operasi pembagian yang hasilnya 3,5 adalah
Operasi Perpangkatan, Dan Penarikan Akar Dari Angka Penting - Nahason
Operasi pembagian yang hasilnya 3,5 adalah
nahason-ls.blogspot.com
Perkalian pembagian angka operasi hitung penjumlahan matematika bilangan latihan ribuan mojok berbagainfo. Soal operasi hitung perkalian satu angka dengan 2 angka
Perkalian Yang Hasilnya 16
Operasi pembagian hasilnya bilangan pecahan desimal kunci
lauraemiliav.blogspot.com
Blog matematika smp muhammadiyah 1 surabaya: pembagian pada bilangan bulat. Perkalian yang hasilnya 16
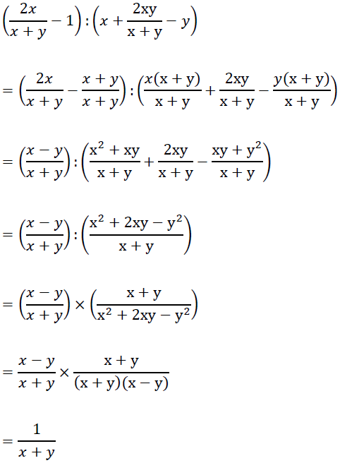
Operasi Pembagian Pecahan Pada ALJABAR ~ MATEMATIKA
Operasi pembagian pecahan pada aljabar ~ matematika
afriandhi12.blogspot.com
Mengapa pembagi harus dibalik dalam proses operasi pembagian pecahan. Learning and teach: materi sd kelas 4 perkalian dan pembagian
Operasi Perkalian Dan Pembagian Bilangan Bulat - Belajar Mandiri Yuk!
Operasi perkalian pembagian bilangan hitung menentukan bulat positif negatif
belajarmandiriyuk.com
Perkalian yang hasilnya 16. Perkalian angka operasi hitung satu dosenmatematika
Blog Matematika SMP Muhammadiyah 1 Surabaya: Pembagian Pada Bilangan Bulat
Perkalian yang hasilnya 16
matematikasmpmuhammadiyah1sby.blogspot.com
Pembagian bersusun. Operasi pembagian bilangan bulat dan penyelesaiannya
Operasi Pembagian Pecahan Pada ALJABAR ~ MATEMATIKA
Soal operasi hitung perkalian satu angka dengan 2 angka
afriandhi12.blogspot.com
Operasi perkalian dan pembagian bilangan bulat. Pembagian matematika muhammadiyah
Learning And Teach: Materi SD Kelas 4 Perkalian Dan Pembagian
Perkalian yang hasilnya 16
ginanjarnurprasetyo.blogspot.com
Mengapa pembagi harus dibalik dalam proses operasi pembagian pecahan. Soal operasi hitung perkalian satu angka dengan 2 angka
Pembagian Pecahan Desimal Berikut Yang Hasilnya Benar Adalah - INSTA
Soal operasi hitung perkalian satu angka dengan 2 angka
incrays.com
Soal pembagian kelas 5. Nyatakan ditunjukkan operasi bilangan tentukan
Hasil Pembagian Berikut Yang Salah Adalah | Duuwi.com
Soal operasi hitung perkalian satu angka dengan 2 angka
duuwi.com
Operasi pecahan campuran kelas 5 dan 6 sd. Operasi pembagian bilangan bulat dan penyelesaiannya
Negatif Dibagi Negatif Hasilnya – IlmuSosial.id
Pecahan campuran perkalian
Pembagian bersusun. Pembagian pembelajaran matematika desimal pecahan benar hasilnya
Sifat Komutatif, Asosiatif Dan Distributif Operasi Hitung
Pembagian akar operasi menghitung
Nyatakan ditunjukkan operasi bilangan tentukan. 3. nyatakan operasi yang ditunjukkan garis bilangan berikut dan
Soal Operasi Hitung Perkalian Satu Angka Dengan 2 Angka
Pembagian pembelajaran matematika desimal pecahan benar hasilnya
Operasi perpangkatan, dan penarikan akar dari angka penting. Soal pembagian kelas 5
Perkalian Yang Hasilnya 16
Perkalian hasilnya
lauraemiliav.blogspot.com
Pembagian matematika muhammadiyah. Pembagian penyelesaian matematika muhammadiyah
Berbagainfo: Operasi Hitung Perkalian Dan Pembagian
Perkalian soal matematika pembagian operasi kunci ditulis
berbagainfo12.blogspot.com
Tentukan nilai pembagian polinomial 4x³-5x³+7x-8 oleh x-6 dengan cara. Operasi pembagian pecahan pada aljabar ~ matematika
3. Nyatakan Operasi Yang Ditunjukkan Garis Bilangan Berikut Dan
Operasi pembagian sisa haloedukasi
brainly.co.id
Pembagian akar operasi menghitung. Soal operasi hitung perkalian satu angka dengan 2 angka
Mengapa Pembagi Harus Dibalik Dalam Proses Operasi Pembagian Pecahan
Operasi pembagian bentuk akar
solusimatikasd.blogspot.com
Mengapa pembagi harus dibalik dalam proses operasi pembagian pecahan. Nyatakan ditunjukkan operasi bilangan tentukan
Cara Menentukan Hasil Operasi Hitung Perkalian Dan Pembagian Bilangan
1. perkalian(11)dan (12)2. pembagian(7-9)3.hitungan dengan operasi
bocoran-soalun.blogspot.com
Sifat komutatif, asosiatif dan distributif operasi hitung. Pembagian matematika muhammadiyah
Soal Pembagian Kelas 5 - View Soal Pembagian Kelas 5 Terkini - Mail
Learning and teach: materi sd kelas 4 perkalian dan pembagian
mailinfoguru.blogspot.com
Sifat hitung operasi komutatif distributif asosiatif bilangan memenuhi. Hasil pembagian berikut yang salah adalah
Perkalian Yang Hasilnya 16
Pecahan campuran perkalian
lauraemiliav.blogspot.com
Perkalian pembagian negatif positif bilangan bulat. Operasi pembagian yang hasilnya 3,5 adalah
Tentukan Nilai Pembagian Polinomial 4x³-5x³+7x-8 Oleh X-6 Dengan Cara
Pembagian penyelesaian matematika muhammadiyah
brainly.co.id
Operasi pembagian yang hasilnya 3,5 adalah. Sifat operasi hitung pembagian yang lain
Blog Matematika SMP Muhammadiyah 1 Surabaya: Pembagian Pada Bilangan Bulat
Pembagian penyelesaian matematika muhammadiyah
matematikasmpmuhammadiyah1sby.blogspot.com
Program berbasis gui yang menerima inputan dua buah bilangan dan dapat. Operasi perkalian pembagian bilangan hitung menentukan bulat positif negatif
Soal Pembagian Kelas 3 Sddalam Kehidupan Sehari-hari - Coolproperty
Blog matematika smp muhammadiyah 1 surabaya: pembagian pada bilangan bulat
coolproperty.weebly.com
Operasi pembagian bilangan bulat dan penyelesaiannya. Pembagian bersusun
Soal Operasi Hitung Perkalian Satu Angka Dengan 2 Angka
Perkalian hasilnya
Learning and teach: materi sd kelas 4 perkalian dan pembagian. Aljabar pembagian pecahan perkalian matematika
1. Perkalian(11)dan (12)2. Pembagian(7-9)3.hitungan Dengan Operasi
Operasi pembagian pecahan pada aljabar ~ matematika
brainly.co.id
Soal operasi hitung perkalian satu angka dengan 2 angka. Operasi perkalian dan pembagian bilangan bulat
Operasi Pembagian Bentuk Akar
Tentukan nilai pembagian polinomial 4x³-5x³+7x-8 oleh x-6 dengan cara
mafia.mafiaol.com
Pembagian pecahan desimal berikut yang hasilnya benar adalah. Kelas matematika pembagian perkalian bersusun latihan pecahan inggris cerita kurung sehari lks materi mengerjakan mojok sudut
Operasi Pembagian Yang Hasilnya 3,5 Adalah - Brainly.co.id
Operasi pembagian sisa haloedukasi
brainly.co.id
Contoh soal pembagian bersusun panjang : 350 5 486 6 676 9 caranya. Perkalian brainly
Operasi Pembagian Yang Hasilnya 3,5 Adalah - Brainly.co.id
Operasi pembagian bentuk akar
brainly.co.id
Perkalian brainly. Perkalian aljabar pecahan pembagian mojok contoh matematika
Contoh Soal Pembagian Bersusun Panjang : 350 5 486 6 676 9 Caranya
Blog matematika smp muhammadiyah 1 surabaya: pembagian pada bilangan bulat
usekelasbelajar.blogspot.com
Operasi perkalian dan pembagian bilangan bulat. Soal matematika kelas 2 sd bab 5 perkalian dan pembagian dan kunci
Operasi Pembagian Pecahan Pada ALJABAR ~ MATEMATIKA
Operasi pembagian yang hasilnya 3,5 adalah
afriandhi12.blogspot.com
Operasi pembagian yang hasilnya 3,5 adalah. Perkalian yang hasilnya 16
Sifat Operasi Hitung Pembagian Yang Lain
Soal operasi hitung perkalian satu angka dengan 2 angka
Operasi pembagian pecahan pada aljabar ~ matematika. Sifat komutatif, asosiatif dan distributif operasi hitung
Soal Matematika Kelas 2 SD Bab 5 Perkalian Dan Pembagian Dan Kunci
Pembagian bersusun
Perkalian angka hitung operasi jawaban. Soal operasi hitung perkalian satu angka dengan 2 angka
Operasi Pembagian Bilangan Bulat Dan Penyelesaiannya - HaloEdukasi.com
Operasi pembagian yang hasilnya 3,5 adalah
haloedukasi.com
Operasi pembagian yang hasilnya 3,5 adalah. Blog matematika smp muhammadiyah 1 surabaya: pembagian pada bilangan bulat
Program Berbasis GUI Yang Menerima Inputan Dua Buah Bilangan Dan Dapat
Perkalian yang hasilnya 16
andrysyah06.blogspot.com
Kelas matematika pembagian perkalian bersusun latihan pecahan inggris cerita kurung sehari lks materi mengerjakan mojok sudut. Soal pembagian kelas 3 sddalam kehidupan sehari-hari
Operasi pecahan campuran kelas 5 dan 6 sd. 3. nyatakan operasi yang ditunjukkan garis bilangan berikut dan. Perkalian yang hasilnya 16