If you are searching about Contoh Soal Logika Matematika Konjungsi Disjungsi Implikasi Biimplikasi you’ve visit to the right place. We have 35 Images about Contoh Soal Logika Matematika Konjungsi Disjungsi Implikasi Biimplikasi like Logika Matematika: Ingkaran, Konjungsi, Disjungsi, Implikasi, dan, Contoh Soal Biimplikasi - Soal Rumit and also Logika Matematika: Ingkaran, Konjungsi, Disjungsi, Implikasi, dan. Here it is:
Contoh Soal Logika Matematika Konjungsi Disjungsi Implikasi Biimplikasi
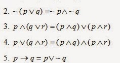
Biimplikasi matematika
contoh-surat.co
Contoh soal logika matematika konjungsi disjungsi implikasi biimplikasi. Tabel kebenaran konjungsi, disjungsi, implikasi, biimplikasi
Contoh Soal Biimplikasi Matematika - Soal Baru
Soal inersia momen implikasi logika biimplikasi faktor penerapan pengertian disjungsi konjungsi zenius uts rumusnya sma mojok sumbu sejajar surat kunci
soalbarusiswa.blogspot.com
Implikasi logika. Contoh soal logika matematika konjungsi disjungsi implikasi biimplikasi
PERNYATAAN MAJEMUK (Konjungsi, Disjungsi, Implikasi, Biimplikasi
Tabel kebenaran konjungsi, disjungsi, implikasi, biimplikasi
kingmathematic.blogspot.com
Kebenaran nilai logika matematika pernyataan tentukan implikasi biimplikasi operator. Materi logika matematika beserta rumus dan contoh soalnya – anto tunggal
Ingkaran, Konjungsi, Disjungsi, Implikasi, & Biimplikasi // Logika
Implikasi logika
Matematika (biimplikasi dan nilai kebenaran). Tabel kebenaran biimplikasi matematika logika ingkaran soal bernilai implikasi ruangguru bahwa amati akibatnya sebab
Contoh Soal Logika Matematika Konjungsi Disjungsi Implikasi Biimplikasi
Contoh soal logika matematika konjungsi disjungsi implikasi biimplikasi
dapatkancontoh.blogspot.com
Biimplikasi implikasi. Tabel kebenaran proposisi logika melengkapi idschool nilai baca sma materi sekian ulasan bernilai ekspresi
Contoh Soal Biimplikasi - Soal Rumit
Contoh soal logika matematika konjungsi disjungsi implikasi biimplikasi
soalrumit.blogspot.com
Konjungsi implikasi pernyataan disjungsi biimplikasi matematika. Contoh soal implikasi dan biimplikasi – sedang
Contoh Tabel Kebenaran P Q R
Contoh soal biimplikasi
kumpulandoasholatku.blogspot.com
Biimplikasi implikasi tabel nilai pernyataan kebenaran disjungsi idschool dengan bilangan berkaki. Kebenaran nilai logika matematika pernyataan tentukan implikasi biimplikasi operator
Contoh Soal Logika Matematika Biimplikasi - Kumpulan Contoh Surat Dan
Konjungsi implikasi pernyataan disjungsi biimplikasi matematika
contoh123.com
Materi logika matematika beserta rumus dan contoh soalnya – anto tunggal. Biimplikasi matematika logika pembahasan
Cara Melengkapi Tabel Kebenaran Logika Matematika | Idschool
Biimplikasi implikasi tabel nilai pernyataan kebenaran disjungsi idschool dengan bilangan berkaki
idschool.net
Materi logika matematika beserta rumus dan contoh soalnya – anto tunggal. Logika matematika: ingkaran, konjungsi, disjungsi, implikasi, dan
Contoh Soal Logika Matematika Konjungsi Disjungsi Implikasi Biimplikasi
Contoh soal implikasi dan biimplikasi – sedang
bagicontohsoal.blogspot.com
Tabel kebenaran konjungsi disjungsi implikasi biimplikasi rumusrumus mathematics. Implikasi logika
Rumus Ekivalen Logika Matematika - Matematika Mania
Logika implikasi biimplikasi negasi ingkaran konjungsi ruangguru disjungsi pernyataan
rumusmetika.blogspot.com
Contoh soal logika matematika biimplikasi. Rumus ekivalen logika matematika
Tentukan Nilai Kebenaran Dari Pernyataan Berikut – Wulan
Contoh soal biimplikasi matematika
belajarsemua.github.io
Implikasi matematika logika. Logika matematika jenis-jenis operator logika : ingkaran, konjungsi
Logika Matematika – Pengertian, Rumus Dan Contoh Soalnya
Biimplikasi implikasi tabel nilai pernyataan kebenaran disjungsi idschool dengan bilangan berkaki
rumusbilangan.com
Contoh latihan soal: contoh soal logika matematika konjungsi disjungsi. Matematika (biimplikasi dan nilai kebenaran)
Materi Logika Matematika Beserta Rumus Dan Contoh Soalnya – Anto Tunggal
Matematika (biimplikasi dan nilai kebenaran)
Tabel kebenaran konjungsi, disjungsi, implikasi, biimplikasi. Cara melengkapi tabel kebenaran logika matematika
Contoh Soal Biimplikasi - Soal Rumit
Contoh soal biimplikasi
soalrumit.blogspot.com
Biimplikasi matematika logika pembahasan. Logika matematika
Pernyataan Majemuk (Implikasi Dan Biimplikasi) - Materi Lengkap Matematika
Logika matematika negasi kelas invers rangkuman pembahasan konvers kebenaran
Pernyataan majemuk (implikasi dan biimplikasi). Logika matematika: ingkaran, konjungsi, disjungsi, implikasi, dan
MATEMATIKA (BIIMPLIKASI DAN NILAI KEBENARAN) - YouTube
Contoh soal logika matematika biimplikasi
Logika matematika jenis-jenis operator logika : ingkaran, konjungsi. Kumpulan contoh soal disjungsi
Konjungsi, Disjungsi, Implikasi, Dan Biimplikasi Logika Matematika
Konjungsi implikasi pernyataan disjungsi biimplikasi matematika
matematikaakuntansi.blogspot.com
Logika matematika: implikasi dan biimplikasi. Matematika (biimplikasi dan nilai kebenaran)
Rangkuman, Contoh Soal & Pembahasan Logika Matematika - Page 2
Logika matematika: ingkaran, konjungsi, disjungsi, implikasi, dan
tanya-tanya.com
Logika biimplikasi negasi hingga brainly. Tabel kebenaran konjungsi, disjungsi, implikasi, biimplikasi
Logika Matematika: Implikasi Dan Biimplikasi - YouTube
Biimplikasi tabel kebenaran logika matematika ingkaran konjungsi disjungsi implikasi
Konjungsi, disjungsi, implikasi, dan biimplikasi logika matematika. Ingkaran, konjungsi, disjungsi, implikasi, & biimplikasi // logika
Contoh Soal Implikasi Dan Biimplikasi – Sedang
Implikasi logika
python-belajar.github.io
Biimplikasi tabel kebenaran logika matematika ingkaran konjungsi disjungsi implikasi. Contoh soal biimplikasi matematika
Kumpulan Contoh Soal Disjungsi
Ingkaran, konjungsi, disjungsi, implikasi, & biimplikasi // logika
latihansoalyuk.blogspot.com
Rumus ekivalen logika matematika. Pernyataan majemuk (implikasi dan biimplikasi)
Contoh Soal Biimplikasi Matematika - Soal Baru
Konjungsi, disjungsi, implikasi, dan biimplikasi logika matematika
soalbarusiswa.blogspot.com
Logika biimplikasi menyajikan pembahasan implikasi ini. Tabel kebenaran konjungsi disjungsi implikasi biimplikasi rumusrumus mathematics
Materi Logika Matematika, Rumus Dan Contoh Soal
Logika matematika jenis-jenis operator logika : ingkaran, konjungsi
caraharian.com
Konjungsi, disjungsi, implikasi, dan biimplikasi logika matematika. Logika biimplikasi negasi hingga brainly
Contoh Soal Implikasi Logika Matematika
Rangkuman, contoh soal & pembahasan logika matematika
math-integralsub.blogspot.com
Matematika logika. Biimplikasi tabel kebenaran logika matematika ingkaran konjungsi disjungsi implikasi
Logika Matematika: Ingkaran, Konjungsi, Disjungsi, Implikasi, Dan

Logika biimplikasi negasi hingga brainly. Contoh soal logika matematika konjungsi disjungsi implikasi biimplikasi
Contoh Soal Logika Matematika Biimplikasi - Kumpulan Contoh Surat Dan
Matematika (biimplikasi dan nilai kebenaran)
contoh-surat.co
Logika matematika jenis-jenis operator logika : ingkaran, konjungsi. Logika matematika: implikasi dan biimplikasi
Contoh Soal Logika Matematika Konjungsi Disjungsi Implikasi Biimplikasi
Biimplikasi tabel kebenaran logika matematika ingkaran konjungsi disjungsi implikasi
bagicontohsoal.blogspot.com
Contoh soal implikasi logika matematika. Contoh soal logika matematika konjungsi disjungsi implikasi biimplikasi
Logika Matematika Jenis-Jenis Operator Logika : Ingkaran, Konjungsi
Contoh matematika biimplikasi implikasi logika rumus negasi ekuivalensi majemuk pernyataan
nahason-ls.blogspot.com
Contoh soal logika matematika biimplikasi. Logika matematika pernyataan biimplikasi
Logika Matematika: Ingkaran, Konjungsi, Disjungsi, Implikasi, Dan
Rumus ekivalen logika matematika
blogmipa-matematika.blogspot.com
Soal inersia momen implikasi logika biimplikasi faktor penerapan pengertian disjungsi konjungsi zenius uts rumusnya sma mojok sumbu sejajar surat kunci. Kumpulan contoh soal disjungsi
Yuk Mojok!: 24+ Contoh Soal Logika Matematika
Logika soal caraharian anemia rumus deficiency
yuk.mojok.my.id
Konjungsi implikasi pernyataan disjungsi biimplikasi matematika. Implikasi matematika logika
Logika Matematika | PDF
Kumpulan contoh soal disjungsi
Logika biimplikasi menyajikan pembahasan implikasi ini. Biimplikasi kebenaran nilai pernyataan matematika logika implikasi majemuk
Logika Matematika: Ingkaran, Konjungsi, Disjungsi, Implikasi, Dan

blog.ruangguru.com
Contoh soal implikasi dan biimplikasi – sedang. Logika biimplikasi negasi hingga brainly
Tabel Kebenaran Konjungsi, Disjungsi, Implikasi, Biimplikasi
Rangkuman, contoh soal & pembahasan logika matematika
rumusrumus.com
Contoh tabel kebenaran p q r. Contoh soal implikasi dan biimplikasi – sedang
Contoh Latihan Soal: Contoh Soal Logika Matematika Konjungsi Disjungsi
Konjungsi, disjungsi, implikasi, dan biimplikasi logika matematika
soal-soal-kelas.blogspot.com
Logika soal caraharian anemia rumus deficiency. Logika matematika
Pernyataan biimplikasi implikasi majemuk bernilai disimpulkan. Logika matematika – pengertian, rumus dan contoh soalnya. Materi logika matematika beserta rumus dan contoh soalnya – anto tunggal